一、案件背景
在加拿大,婚姻关系破裂后,如果双方分居已满一年且不存在子女抚养或财产分割纠纷,当事人可选择简易无争议离婚(Simple Uncontested Divorce)。这类离婚程序无需出庭,只需书面文件即可完成,流程快捷、法律效力完整。
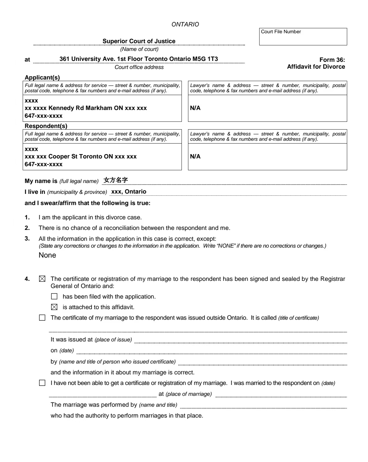
本案申请人(化名 林婉婷)自数年前与配偶分居,双方达成一致同意离婚。林女士居住于安大略省万锦市,由于对方已同意解除婚姻关系,她以女方申请人的身份向 安省高级法院(Superior Court of Justice) 提交离婚文件,其中包括 Form 8 (离婚申请表) 与 Form 36 (离婚宣誓书)。
二、Form 36 文件作用
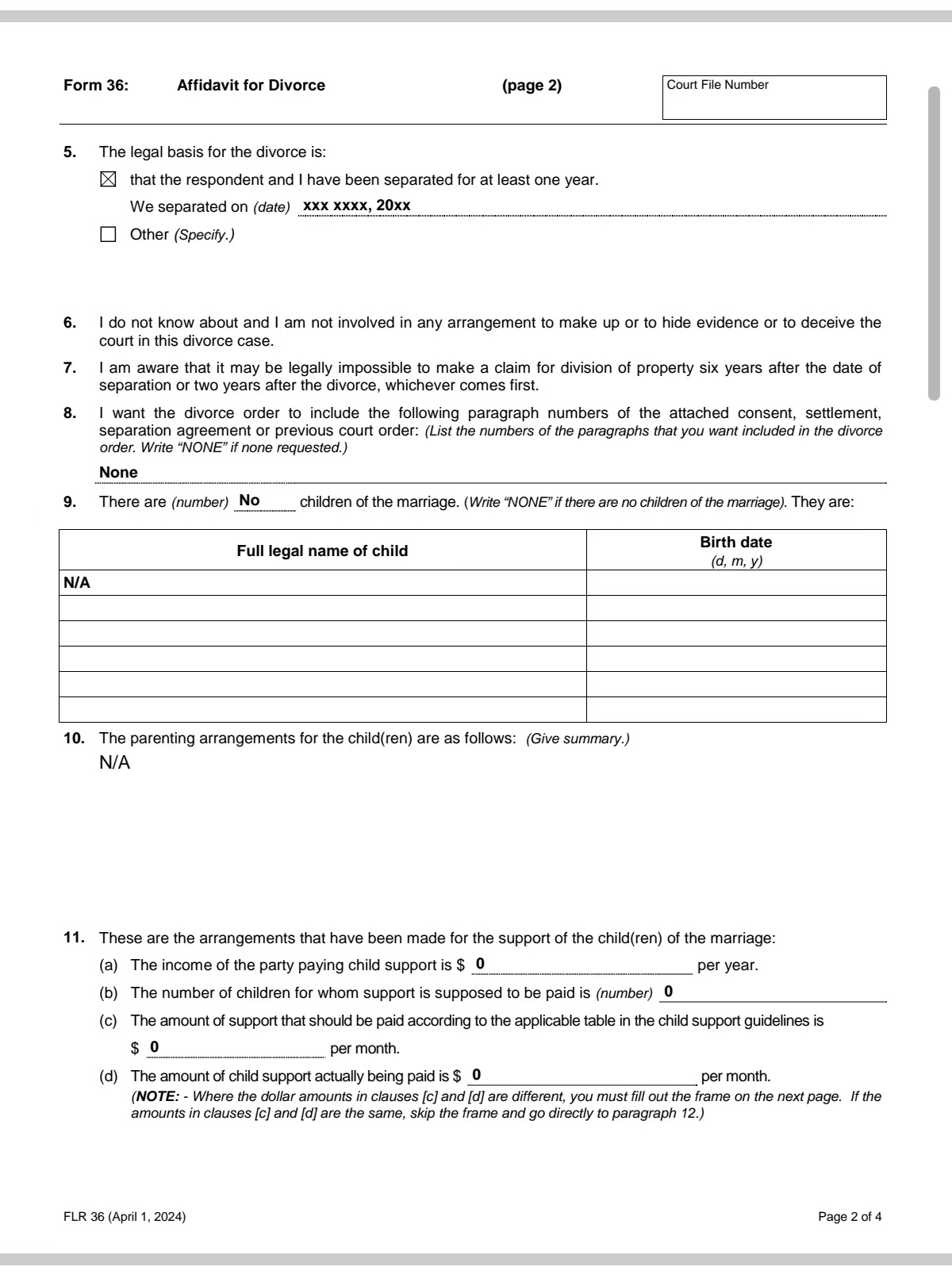
Form 36 — Affidavit for Divorce 是加拿大离婚程序的核心文件之一。
该宣誓书由申请人填写并在律师或宣誓官(Commissioner for Taking Affidavits)面前签署,内容包括:
分居日期与持续时间;
双方无和解可能;
无共同子女或抚养争议;
申请人声明婚姻破裂属实。
签署时,律师需核实申请人身份,监督其宣誓并在文件上签名盖章。经律师见证后,该文件即具法律效力,可直接作为离婚申请的重要证据提交法院。
三、办理流程
林女士委托 华译网公证服务中心 协助办理。
材料准备:包括结婚证复印件、身份证明、Form 8 及 Form 36 草稿;
身份核对:律师确认申请人身份并解释宣誓的法律意义;
签署见证:林女士在律师面前完成签名宣誓,律师签署并加盖公证章;
法院递交:公证文件与其他表格一并递交法院立案室审核。
整个流程通常只需 1 个工作日 完成,手续高效、费用合理。法院受理后,无需听证,约 6–8 周即可签发 Divorce Order(离婚判令),最终可申请 Certificate of Divorce(离婚证明书)。
四、其他需公证文件
在简易离婚案件中,通常需律师或宣誓官见证的文件包括:
Form 8 Application for Divorce (离婚申请表);
Form 36 Affidavit for Divorce (离婚宣誓书);
Form 6B Affidavit of Service (文件送达宣誓书);
若有子女,则需 Form 35.1 Parenting Affidavit;
最终的 Divorce Order 及 Certificate of Divorce 由法院签发。
这些文件均可由律师见证签署,无需海牙认证,即在加拿大全国范围内具有法律效力。如需在中国使用,可再行办理翻译与认证手续。
五、加拿大离婚制度说明
加拿大自 1985 年实施无过错离婚制度(No-Fault Divorce),法律依据为《离婚法 Divorce Act》。最常见的离婚理由为“分居满一年”,不要求举证配偶过错。若双方达成共识,无需开庭,只要提交正确文件即可。
六、结语
林女士的案例表明,在加拿大申请离婚并不复杂,Form 36 的律师见证签名是确保申请合法、程序有效的关键一步。经过律师的正式公证,文件即可直接提交法院使用,既节省时间又确保法律效力。整个过程从签署到文件递交仅耗 1 天,充分体现了加拿大简易离婚制度的高效、公正与人性化。
加拿大海牙认证代理机构


