全站搜索

滑铁卢警方无犯罪核查外国海牙认证用于移民

分类:官方博客 223

当事人李某(化名)长期在加拿大居住、工作,因后续涉及移民及出入境相关事务,需要向有关机构证明其在加拿大期间无刑事犯罪记录。考虑到部分移民或签证审理过程中,可能会对申请人的背景情况进行抽查或要求补交证明文件,当事人决定提前办理加拿大警方无犯罪记录核查(Criminal Record Check),并同步完成翻译、公证及海牙认证,作为预备材料留存。
在实际操作中,加拿大警方出具的无犯罪记录文件通常为英文版本,且属于地方警务机构文件。若直接提交给移民部门或境外使用单位,往往会被要求提供正式翻译件,并确保文件具备可核验的法律效力。因此,当事人委托我们对整套文件进行规范化处理。
办理流程如下:
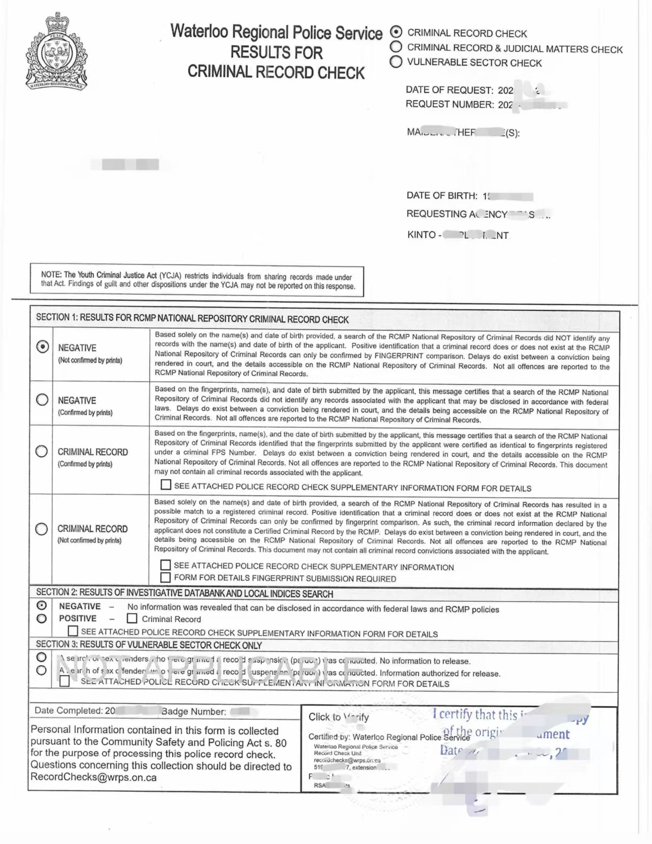
首先,当事人通过加拿大当地警察局完成无犯罪记录核查申请,警方在核查完成后出具正式结果文件,明确显示申请人基本信息、查询范围及核查结论。随后,我们安排具备资质的翻译人员对警方文件进行完整、逐页翻译,并由译者签署翻译宣誓书(Translator’s Affidavit),声明翻译内容真实、准确。
在翻译与宣誓完成后,整套文件由加拿大当地公证人进行见证与公证,确认翻译宣誓人的身份及签署行为的合法性。公证完成的文件随后递交至省级政府主管部门,办理海牙认证(Apostille),以确保该文件在国际范围内具备通行效力。
本案的最终成品通常包括以下几部分:
加拿大警方出具的无犯罪记录核查原件;
对应的中英文翻译文本;
译者翻译宣誓书及公证页;
省政府出具的海牙认证页。
在时间方面,本案整体衔接顺畅,从警方文件整理、翻译、公证到完成海牙认证,整体周期控制在较短时间内,未影响当事人后续移民或签证材料的准备进度。成品文件可优先提供电子扫描件,用于线上递交或备查,纸质原件则根据需要留存或邮寄。
当事人反馈,提前完成无犯罪记录的翻译及海牙认证,使其在面对移民或签证审理中的背景核查要求时更加从容,避免了临时补料、重复解释或因文件形式不合规而被退回的风险。

20254719 海牙认证样本 滑铁卢地区无犯罪证明 组合 3 pdf

上一篇: 下一篇:
代办海牙认证